China Garment Website_China's popular garment and fashion information platform China Garment News 6How many types of geometric structures of fabrics are there?

6How many types of geometric structures of fabrics are there?



6. How many types of geometric structures are there in fabrics? Answer: The division of structural order generally takes the two extreme states of warp and weft yarn buckling wavef…

6. How many types of geometric structures are there in fabrics?

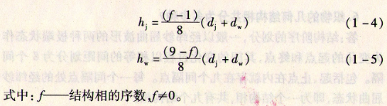
Answer: The division of structural order generally takes the two extreme states of warp and weft yarn buckling waveforms as the starting point and end point of change, and the change process is divided into 8 intervals at equal intervals. There are nine interval points including the starting and ending points. The buckling state of warp and weft yarns at each interval point is a structural phase, and there are nine structural phases in total. Since the sum of buckling wave heights of warp and weft yarns in any waveform state is always equal to a constant, which is equal to the sum of diameters of warp and weft yarns, assuming this constant is L, then L=hj+hw=dj+dw It can be seen from Table 1-1 that the buckling wave height of warp and weft yarns is closely related to the structural phase. The higher the structural phase, the greater the buckling wave height of warp yarns, and the smaller the buckling wave height of weft yarns. The relationship between buckling wave height and structural phase can be expressed quantitatively as follows:

AAAFSGRETEGSDFW


Disclaimer:

Disclaimer: Some of the texts, pictures, audios, and videos of some articles published on this site are from the Internet and do not represent the views of this site. The copyrights belong to the original authors. If you find that the information reproduced on this website infringes upon your rights, please contact us and we will change or delete it as soon as possible.

AA

This article is from the Internet, does not represent 【www.china-garment.com】 position, reproduced please specify the source.https://www.china-garment.com/archives/37226

Author: clsrich

 
TOP
Home
News
Product
Application
Search